Logo (Main page)

Lack of Dwarf Galaxies in the Local Volume
Compared to Conventional Cosmology

Russian version

    The sample of the Local Volume galaxies (distance smaller than 10 Mpc) gives a unique opportunity to study the properties of galaxies including the weakest objects: the absolute magnitude MB≈-10 and the virial mass Mvir≈109M☼. We found out that the standard ΛCDM model precisely describes the distribution function of galactic circular velocities for massive objects (Vcirc>~70 km s-1 and Mvir>~5x1010M☼) but five times overestimates the number of dwarf galaxies with circular velocities of Vcirc~30-40 km s-1. Such a considerable overabundance of predicted big dwarf field galaxies with masses Mvir≈1010M☼ causes a complicated problem: to prove they are lost, these galaxies should be of extremely low surface brightness, with no star formation processes and no neutral hydrogen. Up to now, there has been no such galaxy detected.
    The abundance of galaxies as a function of their circular velocities dN/dV is fundamental statistics that is very sensitive for theoretical prediction checking. These studies became possible only recently, as they are complicated to obtain. The Local Volume (D<10 Mpc) allows us to study the circular velocity function for the galaxies of all morphological types up to the smallest ones. We have found that the observed velocity function shows a small inclination α≈-1 for small velocities and relatively steep inclination at great velocities.
    The velocity function of the Local Volume comply with the same function in the significantly fuller sample ALFAFA based on the HI observations corrected for 10-20% fraction of early-type galaxies non-detectable in neutral hydrogen. Thus, we can now construct the velocity function with ~10% accuracy for galaxies of all types in the velocity range of 10 to 200 km s-1.
    We compared the galaxies of the Local Volume with theoretical predictions and found that for comparatively massive galaxies with V>~70 km s-1 and masses Mvir>~5x1010M☼, the ΛCDM standard model is in agreement with the observed abundance of galaxies. However, the small inclination and the normalization of velocity function for dwarf galaxies with V<40 km s-1 contradict the standard model which predicts the inclination α≈-3 for the dark matter halo from the cosmological N-body modeling. Moreover, the models with warm dark matter also can not explain the observed data irrespective of particle masses.
    The overabundance of the field galaxies differs in a number of aspects from the similar problem of the overabundance of satellites in the Local Group. As distinct from the Local Group, where the problem arises with gas-poor dwarf spheroidal galaxies with V~10 km s-1 and at small distances (≤1 kpc), in the field, the problem arises with gas-rich galaxies with star formation process with circular velocities of about 30-40 km s-1 and at great distances (≥2 kpc) from massive objects.
A.Klypin, I.Karachentsev, D.Makarov, O.Nasonova
Published:
A.Klypin, I.Karachentsev, D.Makarov, and O.Nasonova "Abundance of field galaxies", 2015, MNRAS, 454, 1798

Contact - D.Makarov

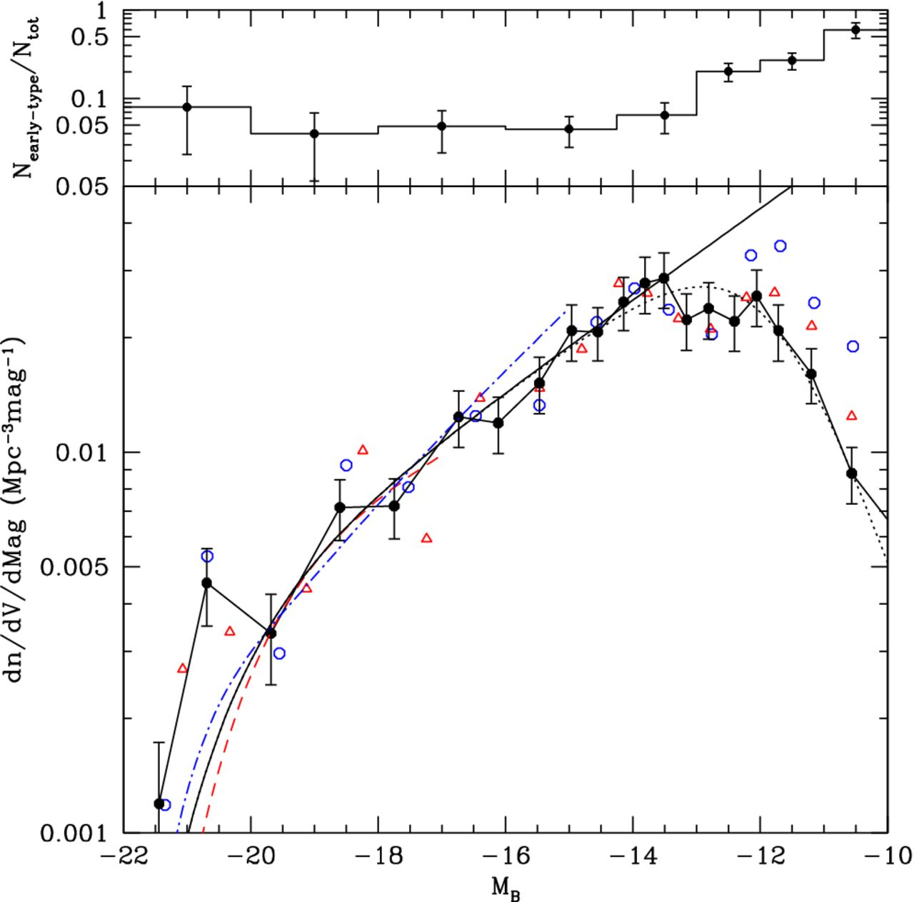
Fig.1. Luminosity function of the Local Volume galaxies. Black circles correspond to the sample within 10 Mpc, blue circles - 8 Mpc, red triangles - 6 Mpc. The luminosity functions for galaxies are presented: red dashed line - from the 2dFGRS survey (Norberg et al. 2002); blue dash-dotted line - from the SDSS survey (Blanton et al. 2005). Black solid line denotes the distribution approximation with the Schechter function with an inclination of α=1.3 and M*=-20.0+5log(h). It can be seen from the figure that the Local Volume is complete up to -14 MB. At weaker magnitudes, the incompleteness of the sample of the Local Volume galaxies is shown. Black dashed line shows the approximation of the luminosity function in the range from -10 to -14 mag. The upper panel shows the fraction of early-type galaxies in the sample within 10 Mpc. The fraction is almost constant, ~10% for the galaxies brighter MB=-13 and starts growing for weaker galaxies due to dwarf spheroidal satellites around bright galaxies.

Fig.2. Comparison of the width distribution for the Local Volume galaxies with the theoretical predictions of ΛCDM (left panel) and WDM (right panel) models. Black dots and black dashed line show the velocity function for the 10 Mpc sample. In the left panel, the colored solid lines show theoretical predictions for the ΛCDM: red curve - with the Planck cosmological parameters; blue curve - with the WMAP7. Red dashed line denotes the predictions of the model with dark matter only without including the baryons' contribution. The increased mass of baryons in the halo centers leads to increasing the circular velocity of galaxies