Details of the luminosity calculation

The radio luminosity formula (see Hogg D.W.) is

         

where luminosity (bolometric) distance is

         

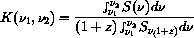
and K-correction is

         

Deceleration parameter is for Lambda = 0.

The fitting curve is used for the luminosity calculation in the frequency range choosed.

The Hubble constant, the deceleration parameter, the redshift of radio source, and the emission comoving frequency range can be choosed as parameters.